随着双碳目标、能源转型和科技进步的推动,能源电力系统的结构形态和控制运行方式发生了颠覆性变化,2021年3月15日,习近平总书记在中央财经委员会第九次会议上提出构建新型电力系统。新型电力系统具有高比例可再生能源和高比例电力电子设备的“双高”的特征,对新型电力系统的建模仿真理论和方法都提出了更高的要求。传统以机电暂态为主的仿真软件,无法仿真微秒级的电力电子与电力系统的高频暂态现象;而以电磁暂态为主的仿真软件多数是国外软件,其设计理念和研究对象是以国外传统电力系统特征为主,加之核心算法封闭,其灵活性、适配性、扩展性、迭代速度和用户体验等都无法满足国内新型电力系统的发展需求。基于这些现状和问题,国内市场急需一款能够满足客户需求、解决上述问题的电力建模仿真软件。
上海科梁信息科技股份有限公司利用其15年在能源电力领域的专业积累,联合行业资深专家,历时5年潜心研发,正式发布完全自主可控的全电磁暂态建模仿真软件SimuNPS V1.0。

■ 图形化建模
用户可在图形化画板上通过拖拽、复制和粘贴等操作分别建立电气系统模型和控制系统模型,同时支持在画板上增加与模型运行无关,仅用于批注的图形或注释,模块可自动连接、并且拖动时显示对齐辅助线。

■ 电气系统元件库
丰富的电气系统元件库40+,覆盖新型电力系统主要元件,包括同步发电机、变压器、输电线路、负载、断路器、变流器、光伏、风机、电池储能等。

■ 控制系统元件库
控制与数学运算元件100+,包括:基本控制单元、数据源、数学运算、逻辑运算、积分模块、特殊模块、数据输出与存储、自定义代码、自定义构造型等,并支持高阶传递函数。

■ 电磁暂态计算
支持新型电力系统中“源网荷储充”各种系统的全电磁暂态仿真计算,仿真步长可设置从1μs到200μs,全电磁暂态仿真电网母线数2000+。

■ 潮流计算
支持新型电力系统的潮流计算,可在系统拓扑图上显示潮流结果,并可通过表格显示。

■ 数据监控和分析
支持数据以可视化方式将仿真结果以曲线图、表格、文本报告等形式进行输出展示,提供友好的用户交互界面。结合QuiKIS,可进行更复杂的数据分析,如:支持谐波分析、功率计算、电气量计算、统计量计算和查找最值等功能。

■ 更人性化的建模画板
电气系统和控制系统画板分开设计,集成测量元件,母线与元件的可观测信号可以直接推送到示波器观察和存储,这使得整个电网结构看起来清晰、直观。画板支持自动连接、辅助对齐线、双击空白自动创建模块等便捷功能,模块可缩放、显示“警告、错误、挂起”等不同状态。电气画板可以根据不同的电压等级突出显示不同的母线。有了这些便捷友好的功能,提高了建模效率,提升了用户体验。

■ 强大的模型数据管理功能
采用面向对象设计理念,建立统一模型和设备的数据管理器,将仿真涉及电气和控制元件统一分类管理,便于查找和处理;将模型和参数设置进行分层处理,设立设备类型层用于存储参数,网络模型层用于存储模型,便于数据移植,提高管理效率。

■ 先进的数值求解器
仿真引擎支持多种数值积分方法,包括后向欧拉法、隐式梯形积分法、梯形与欧拉加权数值积分法等,通过对部分特殊元件进行积分方法配置,部分设备模型采用新的建模理论搭建,可适应新型电力系统特征,能够消除数值振荡问题,保证误差1%以内的仿真精度。

■ 丰富的控制系统模型
提供常见的电力控制系统模型。支持Python脚本进行参数初始化、支持单步运行调试和动态调参、支持高阶传递函数模块。利用复合模型机制,可建立多个模型结构一致、参数不同的控制系统模型。支持C++语言建立自定义内部算法的控制模块。

■ 灵活的二次开发能力
用户可以自己编写C++代码对控制元件进行自定义编程,实现自动化模型验证、仿真、赋值等一系列批处理操作。

■ 完全自主可控
根据行业的使用习惯设计,底层实现框架和代码全自主化,重视用户体验,确保只要会用传统办公软件即可快速上手,学习成本低。

支持几十种常用电力应用示例模型,包括IEEE标准模型、常规直流、柔性直流、光伏发电、直驱风机发电、双馈风机发电、储能并网、绿氢系统以及相关控制器模型等。
(1)IEEE 39节点标准模型
IEEE39节点模型是电力系统仿真和分析中常用的一个标准模型,包括同步发电机组、变压器、输电线路和负载等元件,其中IEEE 39-05电机在6s到6.2s接地故障与故障恢复,模型和仿真结果如图:

下图中名称为“Generator 05”的同步电机的转速在故障发生时有了明显的变化。

(2)双端VSC示例工程模型
双端VSC模型是指基于电压源换流器(VSC)的高压直流输电(HVDC)系统,其中两端的换流器可以独立控制交流侧的有功和无功功率,实现双向潮流调节和无功支撑。其电气模型和控制模型分别如下所示:


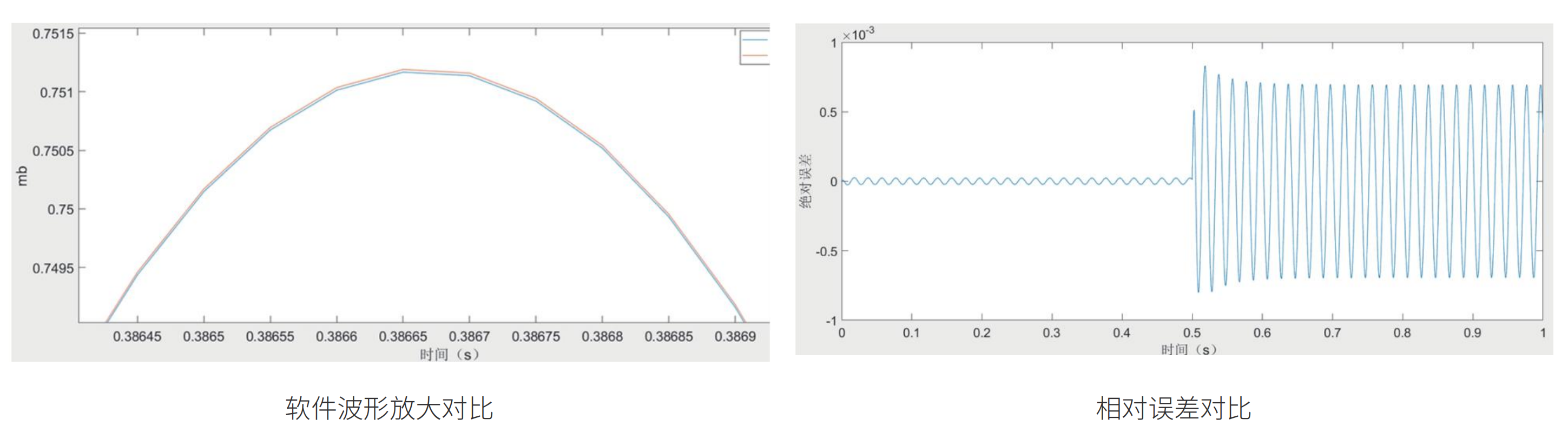
0.5s对送端VSC电流环d轴施加一个阶跃,d轴参考值从0跳变为50A,SimuNPS仿真结果,如图所示:

与主流仿真软件对比,局部放大和绝对误差如下图所示,两者平均误差为0.066%,满足仿真精度要求。

(3)LCC-HVDC示例工程模型
LCC-HVDC系统主要由三部分组成:整流站、直流输电线路和逆变站。交流电力首先经过整流站转换为高压直流,然后通过逆变站将直流电力输送到另一端交流。这种结构使用了多个晶闸管组成的换流阀,可以实现高压大容量电力传输,两端的换流站可以精准控制交流侧的有功功率,实现双向潮流调节。
其电气模型和控制模型分别如下所示:


下图为直流接地故障发生于0.5秒,故障持续为0.01秒,交流故障发生于0.5秒,故障持续为0.05秒的仿真结果:

(4)直驱风机示例工程模型
永磁直驱风电机组无齿轮箱,具有发电效率高、可靠性高、运行及维护成本低、出色的电网接入性能等特点,是目前主流风电机组之一。此案例的Bus5在0.5s施加接地故障,0.7s时故障消失。
模型和仿真结果如下图:


可以看到,在0.5秒时,由于发生了接地故障,电压产生了明显的变化。在0.7秒时,故障结束,电压逐渐恢复正常。
